TransphotoElektrični gradski prijevoz

Photo Statistics

2672 KB


Photo ID:2190766
File Size:2672 KB
Autor:Ymtram
Date published:15.10.2025 05:07 MSK
Days since photo published:136
Unique views:44
Comments:0

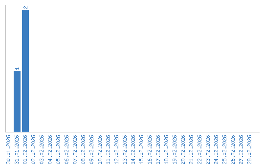
Viewing statistics by date