TransphotoElektrični gradski prijevoz

Photo Statistics

3078 KB


Photo ID:2183796
File Size:3078 KB
Autor:Romuk
Date published:01.10.2025 17:21 MSK
Days since photo published:83
Unique views:183
Comments:0

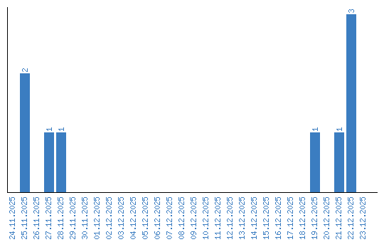
Viewing statistics by date