TransPhotoLinnade elektritransport

Informatsioon foto kohta

650 KB


Pildi ID:2177728
Faili suurus:650 KB
Autor:Стальной Гвоздь
Avaldatud:21.09.2025 04:36 MSK
Päevi saidil:160
Unikaalseid vaatamisi:132
Kommentaare:0

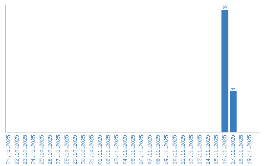
Vaatamiste statistika kuupäeviti