TransphotoTransports Électriques de Ville

Statistiques d'image

4621 KB


ID de photo:2172188
Taille du fichier:4621 KB
Auteur:KG1990
Date de publication:07.09.2025 13:13 MSK
Jours dans la base de données:78
Vues uniques:57
Commentaires:0

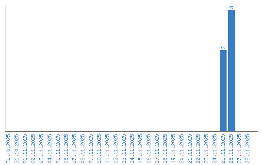
Affichage des statistiques par date