TransPhotoҚалалық электр көлігі

Photo Statistics

860 КБ


Photo ID:2169940
File Size:860 КБ
Автор:bo1ng10
Date published:02.09.2025 00:03 MSK
Days since photo published:40
Unique views:112
Comments:0

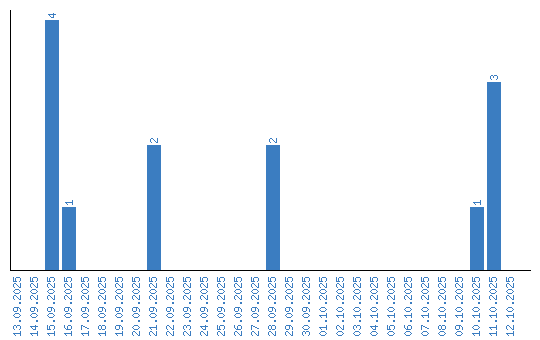
Viewing statistics by date