TransPhotoElektrická Městská Doprava

Statistika obrázku

259 kB


Identifikátor obrázku:2167271
Velikost souboru:259 kB
Autor:Prvek
Zveřejněno:26.08.2025 18:50 MSK
Nachází se na stránkách (dní):86
Jednotlivých zhlédnutí:1430
Komentářů:11

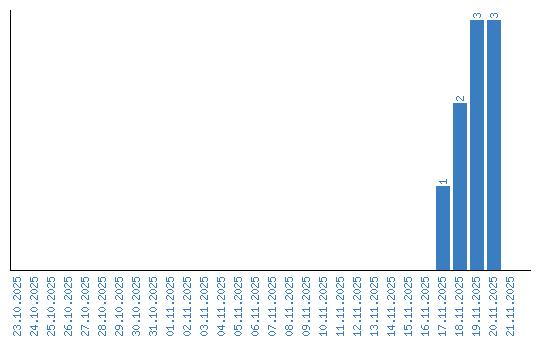
Zhlédnutí po jednotlivých dnech