TransPhotoМіський електротранспорт

Статистика по зображенню

586 КБ


Ідентифікатор зображення:2165140
Розмір файлу:586 КБ
Автор:Убийца КТМов-5
Опубліковано:21.08.2025 22:37 MSK
Знаходиться на сайті, днів:45
Унікальних переглядів:84
Коментарів:0

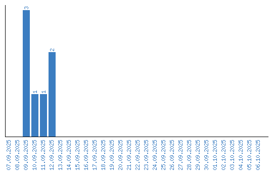
Динаміка переглядів за датами