TransphotoTransports Électriques de Ville

Statistiques d'image

687 KB


ID de photo:2162558
Taille du fichier:687 KB
Auteur:Alenov
Date de publication:16.08.2025 13:02 MSK
Jours dans la base de données:76
Vues uniques:231
Commentaires:0

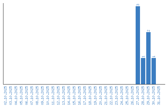
Affichage des statistiques par date