TransphotoUrban Electric Transit

Photo Statistics

660 KB


Photo ID:2162554
File Size:660 KB
Author:DmitriyDemikhovsky
Date published:16.08.2025 12:44 MSK
Days since photo published:77
Unique views:139
Comments:0

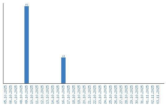
Viewing statistics by date