TransPhotoМіський електротранспорт

Статистика по зображенню

136 КБ


Ідентифікатор зображення:2152309
Розмір файлу:136 КБ
Надіслав:metafizich
Опубліковано:27.07.2025 20:25 MSK
Знаходиться на сайті, днів:93
Унікальних переглядів:67
Коментарів:0

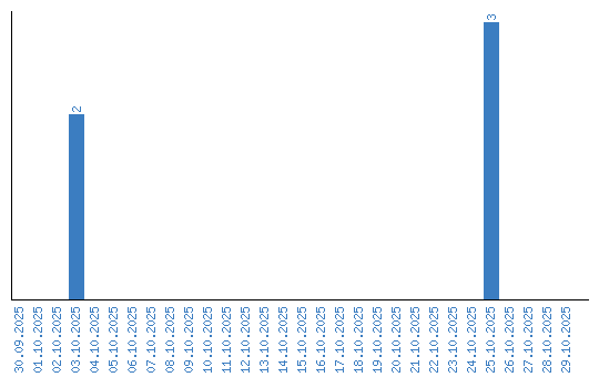
Динаміка переглядів за датами