TransPhotoГородской электротранспорт

Информация об изображении

2879 КБ


Идентификатор изображения:2149912
Размер файла:2879 КБ
Автор:Maks_f12
Опубликовано:23.07.2025 14:23 MSK
Находится на сайте, дней:162
Уникальных просмотров:107
Комментариев:0

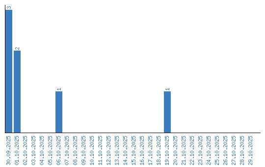
Динамика просмотров по датам