TransphotoElektrischer Nahverkehr

Bildinformationen

682 KB


Foto-ID:2149314
Dateigröße:682 KB
Autor:olegpanov6
Veröffentlicht am:22.07.2025 20:23 MSK
Tage seit Veröffentlichung:86
Aufrufe:114
Kommentare:0

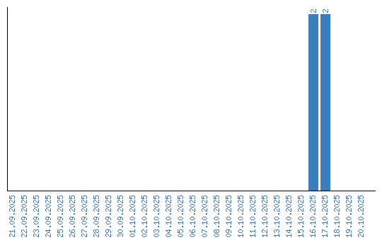
Aufrufestatistik (Tage)