TransPhotoГрадски електротранспорт

Информация за снимката

2589 КБ


Идентификатор на снимки:2138233
Размер на файла:2589 КБ
Автор:Glorius_075
Качено:30.06.2025 13:47 MSK
Стоящо в сайта, дни:103
Уникални преглеждания:307
Коментари:5

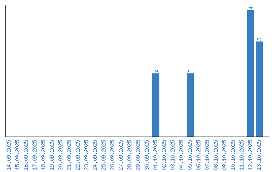
Динамика на преглежданията по дата