TransphotoUrban Electric Transit

Photo Statistics

536 KB


Photo ID:2133483
File Size:536 KB
Author:imgetawaycar
Date published:20.06.2025 00:35 MSK
Days since photo published:114
Unique views:138
Comments:0

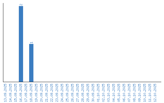
Viewing statistics by date