TransphotoUrban Electric Transit

Photo Statistics

513 KB


Photo ID:2126498
File Size:513 KB
Author:Yastrebov Nikolay
Date published:05.06.2025 12:23 MSK
Days since photo published:139
Unique views:356
Comments:1

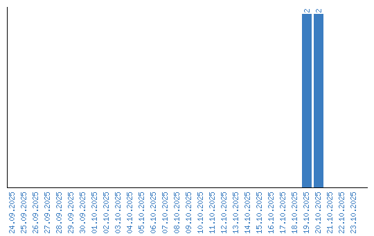
Viewing statistics by date