TransphotoElektrični gradski prijevoz

Photo Statistics

563 KB


Photo ID:2123035
File Size:563 KB
Autor:K.Paiken
Date published:30.05.2025 09:37 MSK
Days since photo published:179
Unique views:165
Comments:0

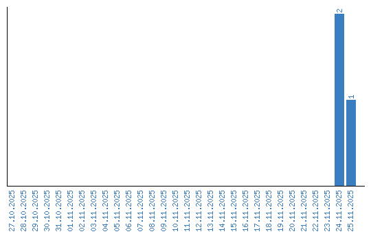
Viewing statistics by date