TransPhotoҚалалық электр көлігі

Photo Statistics

678 КБ


Photo ID:2115711
File Size:678 КБ
Автор:Caviar
Date published:16.05.2025 22:02 MSK
Days since photo published:158
Unique views:157
Comments:0

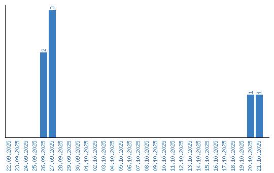
Viewing statistics by date