TransphotoTransports Électriques de Ville

Statistiques d'image

3150 KB


ID de photo:2105508
Taille du fichier:3150 KB
Auteur:Лёха Оборотов 61
Date de publication:25.04.2025 21:38 MSK
Jours dans la base de données:260
Vues uniques:139
Commentaires:0

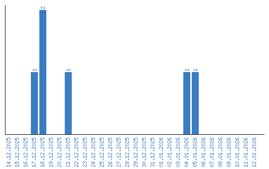
Affichage des statistiques par date