TransPhotoҚалалық электр көлігі

Photo Statistics

1389 КБ


Photo ID:2104201
File Size:1389 КБ
Автор:Nikita_Transportnik
Date published:22.04.2025 16:49 MSK
Days since photo published:175
Unique views:119
Comments:0

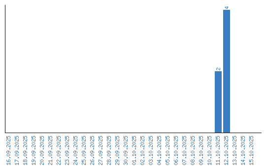
Viewing statistics by date