TransPhotoKentsel Elektrikli Ulaşım

Photo Statistics

590 KB


Photo ID:2100285
File Size:590 KB
Yazar:transportnik54
Date published:13.04.2025 06:54 MSK
Days since photo published:275
Unique views:170
Comments:0

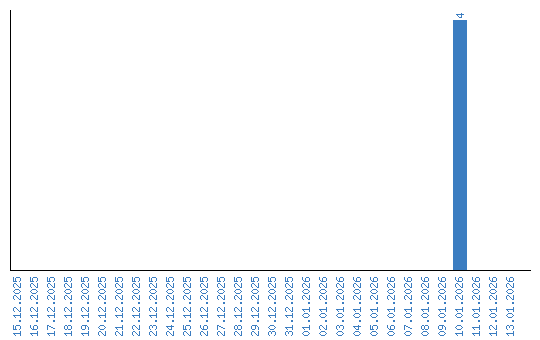
Viewing statistics by date