TransphotoUrban Electric Transit

Photo Statistics

699 KB


Photo ID:2099896
File Size:699 KB
Author:Евгений Леонтьев
Date published:12.04.2025 04:58 MSK
Days since photo published:297
Unique views:252
Comments:5

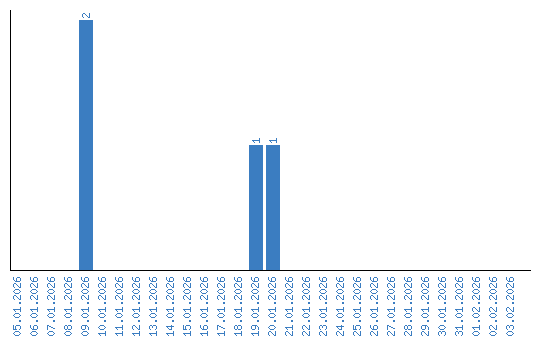
Viewing statistics by date