TransphotoElektrični gradski prijevoz

Photo Statistics

541 KB


Photo ID:2096888
File Size:541 KB
Autor:Ahtung_23
Date published:04.04.2025 20:57 MSK
Days since photo published:225
Unique views:302
Comments:1

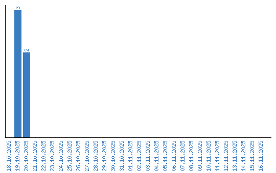
Viewing statistics by date