TransphotoTransports Électriques de Ville

Statistiques d'image

3614 KB


ID de photo:2076517
Taille du fichier:3614 KB
Auteur:VOLGA
Date de publication:14.02.2025 20:07 MSK
Jours dans la base de données:245
Vues uniques:237
Commentaires:2

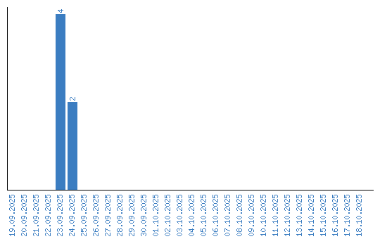
Affichage des statistiques par date