TransPhotoTransportul electric urban

Statistici foto

644 KB


ID-ul fotografiei:2071475
Dimensiunea fișierului:644 KB
Autor:Глеб_НН25
Data publicării:06.02.2025 21:42 MSK
Zile de când fotografia a fost publicată:280
Vizualizări unice:89
Comentarii:0

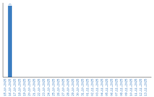
Vizualizarea statisticilor după dată