TransPhotoსაქალაქო ელექტრო ტრანსპორტი

Photo Statistics

2988 KB


Photo ID:2064754
File Size:2988 KB
ავტორი:shoran
Date published:24.01.2025 22:37 MSK
Days since photo published:269
Unique views:957
Comments:11

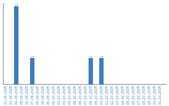
Viewing statistics by date