TransPhotoМіський електротранспорт

Статистика по зображенню

608 КБ


Ідентифікатор зображення:2033633
Розмір файлу:608 КБ
Автор:Red Arrow
Опубліковано:11.11.2024 15:29 MSK
Знаходиться на сайті, днів:402
Унікальних переглядів:181
Коментарів:0

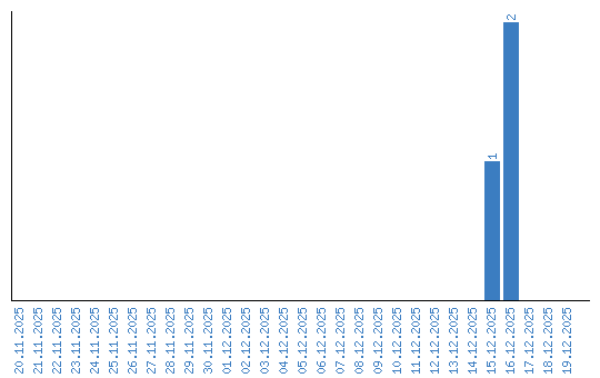
Динаміка переглядів за датами