TransPhotoГрадски електротранспорт

Информация за снимката

679 КБ


Идентификатор на снимки:2022619
Размер на файла:679 КБ
Автор:Subkinov
Качено:19.10.2024 23:14 MSK
Стоящо в сайта, дни:363
Уникални преглеждания:497
Коментари:4

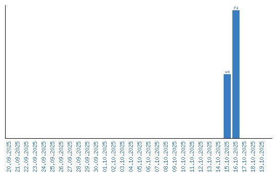
Динамика на преглежданията по дата