TransPhotoElektrinis miestų viešasis transportas

Nuotraukos informacija

627 Kb


Nuotraukos identifikatorius:2021122
Bylos dydis:627 Kb
Autorius:Клауд
Publikuota:16.10.2024 08:24 MSK
Yra tinklapyje dienų:409
Unikalių peržiūrų:128
Komentarų:0

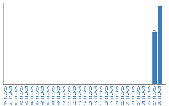
Peržiūrų dinamika pagal dienas