TransphotoUrban Electric Transit

Photo Statistics

653 KB


Photo ID:2019816
File Size:653 KB
Author:RestS
Date published:12.10.2024 08:38 MSK
Days since photo published:378
Unique views:192
Comments:0

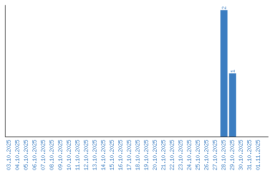
Viewing statistics by date