TransphotoElektrični gradski prijevoz

Photo Statistics

681 KB


Photo ID:2016137
File Size:681 KB
Autor:Ник Харлей
Date published:03.10.2024 10:14 MSK
Days since photo published:413
Unique views:381
Comments:5

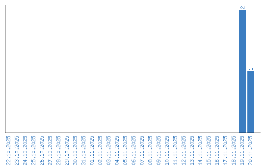
Viewing statistics by date