TransphotoTransports Électriques de Ville

Statistiques d'image

695 KB


ID de photo:2006687
Taille du fichier:695 KB
Auteur:KALITA
Date de publication:12.09.2024 20:43 MSK
Jours dans la base de données:534
Vues uniques:225
Commentaires:1

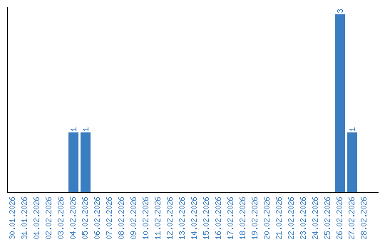
Affichage des statistiques par date