TransPhotoГрадски електротранспорт

Информация за снимката

550 КБ


Идентификатор на снимки:2006090
Размер на файла:550 КБ
Автор:Кирилл Величко
Качено:11.09.2024 07:32 MSK
Стоящо в сайта, дни:532
Уникални преглеждания:303
Коментари:0

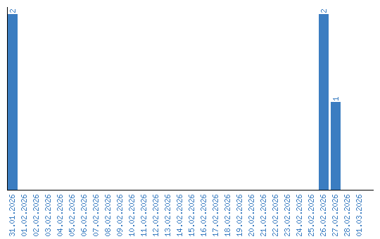
Динамика на преглежданията по дата