TransphotoElektrischer Nahverkehr

Bildinformationen

670 KB


Foto-ID:2002193
Dateigröße:670 KB
Hochgeladen von:Домиан
Veröffentlicht am:01.09.2024 22:08 MSK
Tage seit Veröffentlichung:423
Aufrufe:209
Kommentare:0

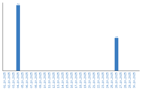
Aufrufestatistik (Tage)