TransphotoElektrischer Nahverkehr

Bildinformationen

1947 KB


Foto-ID:2002160
Dateigröße:1947 KB
Autor:Главвагон
Veröffentlicht am:01.09.2024 22:00 MSK
Tage seit Veröffentlichung:507
Aufrufe:502
Kommentare:0

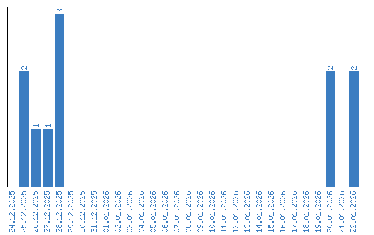
Aufrufestatistik (Tage)