TransPhotoҚалалық электр көлігі

Photo Statistics

557 КБ


Photo ID:1991732
File Size:557 КБ
Автор:Transport_moscow
Date published:13.08.2024 13:54 MSK
Days since photo published:520
Unique views:233
Comments:0

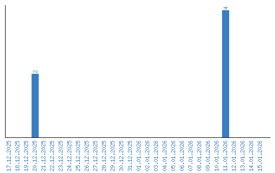
Viewing statistics by date