TransphotoUrban Electric Transit

Photo Statistics

875 KB


Photo ID:1986848
File Size:875 KB
Author:Levis
Date published:03.08.2024 10:38 MSK
Days since photo published:437
Unique views:730
Comments:0

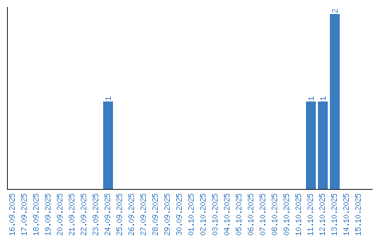
Viewing statistics by date