TransPhotoსაქალაქო ელექტრო ტრანსპორტი

Photo Statistics

687 KB


Photo ID:1979908
File Size:687 KB
ავტორი:Доктор Дизель
Date published:21.07.2024 22:34 MSK
Days since photo published:490
Unique views:337
Comments:0

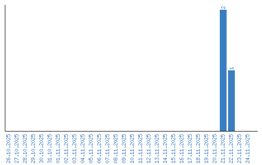
Viewing statistics by date