TransphotoUrban Electric Transit

Photo Statistics

574 KB


Photo ID:1977245
File Size:574 KB
Author:Глеб_НН25
Date published:17.07.2024 11:09 MSK
Days since photo published:534
Unique views:154
Comments:0

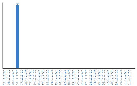
Viewing statistics by date