TransPhotoKentsel Elektrikli Ulaşım

Photo Statistics

3214 KB


Photo ID:1961950
File Size:3214 KB
Yazar:MatveyTrolzaSar
Date published:18.06.2024 15:46 MSK
Days since photo published:596
Unique views:234
Comments:0

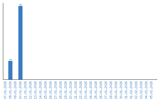
Viewing statistics by date