TransPhotoPilsētas elektrotransports

Informācija par attēlu

1774 KB


Attēla identifikātors:1955155
Faila lielums:1774 KB
Autors:ReksakDaniel
Ir publicēts:04.06.2024 18:49 MSK
Atrodas vietnē, dienās:493
Unikāli skatījumi:87
Komentārus:0

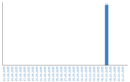
Dinamika skatišana pēc datuma