TransphotoUrban Electric Transit

Photo Statistics

683 KB


Photo ID:1943598
File Size:683 KB
Author:Глеб_НН25
Date published:11.05.2024 20:14 MSK
Days since photo published:596
Unique views:207
Comments:0

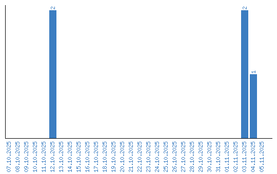
Viewing statistics by date