TransPhotoKentsel Elektrikli Ulaşım

Photo Statistics

683 KB


Photo ID:1943434
File Size:683 KB
Yazar:сухой
Date published:11.05.2024 18:02 MSK
Days since photo published:600
Unique views:174
Comments:0

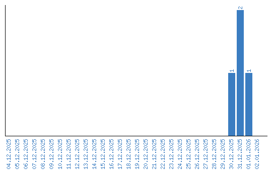
Viewing statistics by date