TransphotoElektrischer Nahverkehr

Bildinformationen

645 KB


Foto-ID:1931091
Dateigröße:645 KB
Autor:!_XAKEP_!
Veröffentlicht am:17.04.2024 11:40 MSK
Tage seit Veröffentlichung:607
Aufrufe:210
Kommentare:0

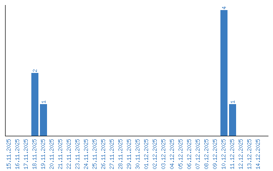
Aufrufestatistik (Tage)