TransphotoUrban Electric Transit

Photo Statistics

582 KB


Photo ID:1930841
File Size:582 KB
Author:Gemini.
Date published:16.04.2024 22:29 MSK
Days since photo published:557
Unique views:320
Comments:0

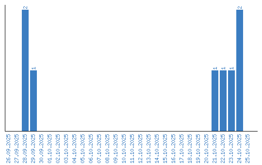
Viewing statistics by date