TransPhotoМіський електротранспорт

Статистика по зображенню

664 КБ


Ідентифікатор зображення:1913648
Розмір файлу:664 КБ
Автор:Мои стримы
Опубліковано:11.03.2024 14:50 MSK
Знаходиться на сайті, днів:692
Унікальних переглядів:1244
Коментарів:15

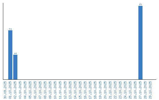
Динаміка переглядів за датами