TransphotoTransports Électriques de Ville

Statistiques d'image

254 KB


ID de photo:1899182
Taille du fichier:254 KB
Auteur:Александр Vl
Date de publication:06.02.2024 16:04 MSK
Jours dans la base de données:607
Vues uniques:492
Commentaires:0

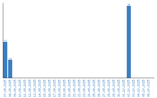
Affichage des statistiques par date