TransPhotoГородской электротранспорт

Информация об изображении

600 КБ


Идентификатор изображения:1883460
Размер файла:600 КБ
Автор:Danikvrn
Опубликовано:06.01.2024 17:54 MSK
Находится на сайте, дней:697
Уникальных просмотров:252
Комментариев:0

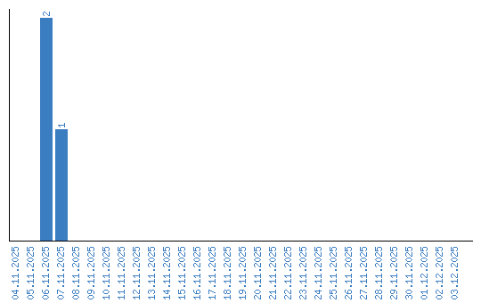
Динамика просмотров по датам