TransphotoUrban Electric Transit

Photo Statistics

546 KB


Photo ID:1879473
File Size:546 KB
Author:Firefly-3360
Date published:30.12.2023 17:29 MSK
Days since photo published:656
Unique views:170
Comments:0

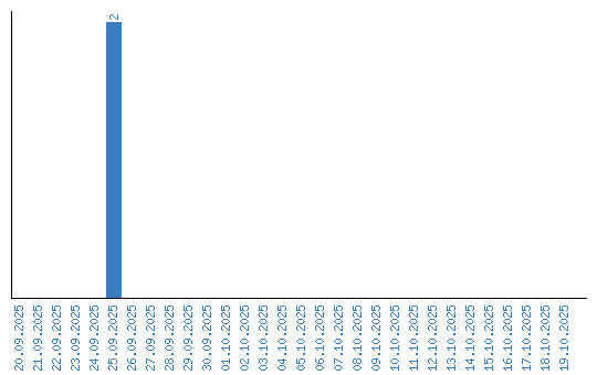
Viewing statistics by date