TransPhotoГрадски електротранспорт

Информация за снимката

683 КБ


Идентификатор на снимки:1856627
Размер на файла:683 КБ
Автор:md00303
Качено:13.11.2023 16:00 MSK
Стоящо в сайта, дни:742
Уникални преглеждания:137
Коментари:0

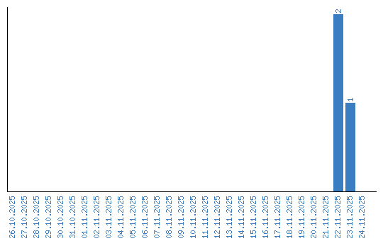
Динамика на преглежданията по дата