TransPhotoҚалалық электр көлігі

Photo Statistics

554 КБ


Photo ID:1855521
File Size:554 КБ
Автор:piterTroll
Date published:11.11.2023 20:08 MSK
Days since photo published:747
Unique views:226
Comments:0

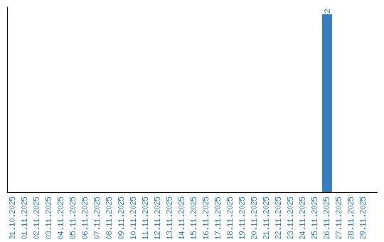
Viewing statistics by date